DYNAPLANT 植物幼苗高通量动态成像分析系统

联系电话: 010-5158 2336转803 电子邮箱: help
DYNAPLANT 植物幼苗高通量动态成像分析系统
在传统的植物学研究中,受实验手段所限只能研究植物表型在某一个时间截面时的静止状态,反映的是该时间点以前全部生物学动态过程的累积效应。然而植物的生长发育是一系列时间- 空间特异的过程的组合,只有观察动态变化过程才能更加全面地认识植物生长发育调控的时空特异性。
DynaPlant 是对植物幼苗进行高通量动态成像分析的仪器平台,能够对小于1cm 的幼苗进行分钟尺度的动力学分析,如此精度得益于独有的图像识别与分析算法、微米级定位精度的长距离三维移动平台和硬件配套的拍摄控制程序。高通量的拍摄模式使得该系统可适用于突变体库、生态型库的大规模筛选及表型组的建立;多种实验条件的自动控制使得该系统真正适合于基础科研,能够对分子机制加以深入研究。
DynaPlant 通过整合精密仪器控制、高分辨率成像和计算机视觉等领域的新技术,提供了一种研究问题的全新视角,将会对植物学基础研究与应用研究的突破产生推动作用,促进植物表型组学的研究和发展。
在现有的植物动态成像系统中,DynaPlant 可以对萌发中的种子和0~10 天内的幼苗进行高通量、高精度的动态成像分析。其他现有的植物动态成像系统,可以对拟南芥、水稻等成株(生长2~3 周后)进行成像并提取计算生长参数,但由于硬件精度限制不能分辨出幼苗的生长变化,也没有针对幼苗的生长特征参数开发对应的数据分析软件算法。然而在大量的研究领域中,采用幼苗作为研究对象具有成株无法比拟的时间效率优势,可以大大缩短实验周期。同时不少研究课题必须以幼苗作为对象,例如种子萌发、暗形态建成等等。在这些应用场景中DynaPlant 是很好的选择。
高通量检测
DynaPlant 提供两种工作视野:
(1) 单株幼苗(局部):视野面积9.0×6.0mm,展现组织水平的细节;5min 标准周期可追踪拍摄300 棵幼苗的动态变化;延长拍摄周期,可追踪拍摄960 棵幼苗。
(2) 单培养皿(全局):视野面积100×100mm,同时观察整个培养皿;可支持拍摄16 个培养皿。
检测精度高
在测量生长参数的精细变化时,DynaPlant配备微米级移动精度的三维移动平台,3600万像素的CMOS相机和4倍放大的双远心镜头,实现了1.2μm/像素的高分辨率,并依靠低的镜头畸变保证了测量精度。
多种实验条件自由组合
在成像过程中,DynaPlant可以通过程序设定,实现以下一种或多种实验条件的自动改变与自由组合。
应用方向
DynaPlant 植物幼苗高通量动态成像分析平台对拟南芥等植物的萌发、幼苗生长进行高通量的全自动动态成像,并提供GPU 加速的图像处理程序,对获得的海量图像数据进行自动批量分析、输出计算结果与图表,并可直观快捷地管理实验设计、运行日志和分析结果的数据库。凭借高精度的硬件和先进的图像分析算法,DynaPlant 可以精确定量分析多种参数,全面反映幼苗时期植物的生长情况。
- 种子萌发率
- 幼苗根的生长速率及弯曲变化率
- 幼苗下胚轴的生长速率及弯曲变化率
- 子叶角度及其变化率
- 根毛的分布及其生长速率
- Luciferase化学荧光强度的分布及变化率
- 植物激素响应
- 植物向光性/向重性
- 植物暗形态建成与光形态建成
- 湿度与大气环境影响
- 非植物胁迫(抗高温、抗冻、抗盐等)
- 植物发育生物学
应用实例
1、种子萌发
根据萌发前后的时间系列图像,判断种子萌发的时刻,精确到±1h,并绘制萌发率曲线,可比较不同基因型以及不同条件处理下种子的萌发速率。


2、幼苗根的生长速率
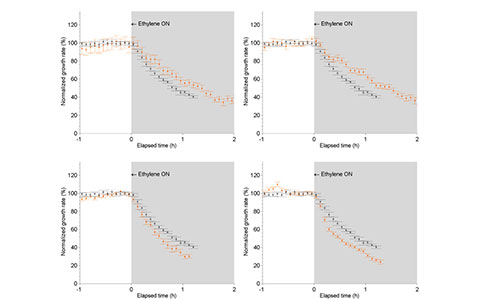
DynaPlant 数据分析软件可以提取根尖的轮廓与中轴线,精确测量根的长度,并以0.1μm/min 的精度计算根在分钟尺度上的生长速率变化(作为参考,野生型拟南芥Col-0 在光下生长5 天的根生长速率约为5μm/min)。针对光、乙烯等可导致生长速率迅速变化的因素进行研究的方法中,DynaPlant 系统能够揭示瞬时变化的完整准确图景。


3、幼苗下胚轴的生长速率
在根生长速率测量方法的基础上,我们开发了一套能够精确跟踪顶端分生组织区域(SAM) 的图像处理算法,使得精确自动测量下胚轴的长度成为可能。下胚轴生长速率的分析精度可达到0.1μm/min,能够清晰分辨不同基因型的生长速率差异。


4、子叶角度及其变化率
通过精确踉踪幼苗表面细节,DynaPlant 能够准确测量幼苗子叶弯曲角度(预端弯钩角度);借助高精度的测量数据,在计算角度随时间的变化率时,可以得到准确的结果。相对于弯曲角度,角度变化率与生长发育的内生调控动力之间具有更加直接的关联。


5、根毛的分布及其生长速率
DynaPlant 可跟踪分析拟南芥根的时间序列图像中根毛的发育分布情况,自动提取根毛发育研究中常用到的参数:(1)根毛的出现时间;(2)根毛出现时距离根尖的距离;(3)根毛生长速率变化;(4)根毛停止生长时的最大长度。


6、Luciferase化学发光强度的分布
根据对化学发光强度的时间序列分析,可以使用DynaPlant 系统研究基因表达的周期节律或其调控的时空特异性。

